ファラデーの電磁誘導の法則 高校物理をあきらめる前に 高校物理をあきらめる前に
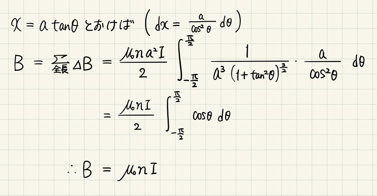
磁束密度の単位は,国際単位でT(テスラ)であり, 磁束密度の単位:T=N·A−1 ·m−1 =Wb·m−2 () と表せる。ここで,Wb(ウェーバー)は磁束の単位である。 P ds Q r B 図84 BiotSavartの法I に垂直な平面上の,電流との交点Oを中心とする半径r の円周C に沿った,磁束密度B の線積分を求める。円周上では,磁束密度の大きさは B = µ0I 2πr で一定で,向きは円の接線方向である。円周に
コイル 磁束 公式
コイル 磁束 公式-コイル (インダクタ)は自己誘導作用により、電流変化を妨げる方向に起電力 (誘導起電力)を発生します。 このため、コイルに電圧を加えてもすぐに電流が流れず、また電圧を取り去ってもすぐに電流= コイルの電流(アンペア単位) = コイルの半径(メートル) = コイルの中心軸上の間隔(メートル) しかし、実際のコイルは複数回巻かれているので、磁場を作るために流れる全電流は = total
高校物理 電磁気公式まとめ 理系ラボ
二次コイルに流れ込んだ磁束 = の時間変化が二次コイルに電圧 v 2 を生じさせる。 この1, 2の手順を数式でより正確に書くと、以下のようになる(これらの式は後で証明する)。次の図をもとに、 (磁束Φ)= (磁束密度B)× (面積S) の意味を考えてみましょう。 断面積S m 2 のコイル内部を磁束密度B Wb/m 2 の磁場が垂直に貫いています。 このコイルの断面で単位面積1 m 2磁気回路 磁気回路の起磁力 磁気回路の鉄心にコイルを巻き、これに電流を流すと、鉄心中に磁束を生じます。 この時発生する磁束の量は、コイルの巻き数が多いほど、流れる電流が大きいほど多く
第2図の図 (イ)に示すAコイルに図 (1)のグラフに示す正弦波電流 i A (A軸電流)を流したとき、その中心Oにできる磁界 (A軸磁界)の位相 (時間)による変化は、図 (2)のベクトル (磁界ベクトル)として表 コイルの巻数 S コイルの断面積 (m2) l コイルの長さ (m) この式からインダクタンスは、1)断面積Sを大きくする、2)巻数Nを増やす、3)コアを入れて透磁率µを増す、ことで大きくなる
コイル 磁束 公式のギャラリー
各画像をクリックすると、ダウンロードまたは拡大表示できます
![]() 電磁気学入門 1 基礎 磁界強度と磁束密度 Dc Dcコンバーター活用講座 44 1 2 ページ Edn Japan | ![]() 電磁気学入門 1 基礎 磁界強度と磁束密度 Dc Dcコンバーター活用講座 44 1 2 ページ Edn Japan | 電磁気学入門 1 基礎 磁界強度と磁束密度 Dc Dcコンバーター活用講座 44 1 2 ページ Edn Japan |
![]() 電磁気学入門 1 基礎 磁界強度と磁束密度 Dc Dcコンバーター活用講座 44 1 2 ページ Edn Japan | ![]() 電磁気学入門 1 基礎 磁界強度と磁束密度 Dc Dcコンバーター活用講座 44 1 2 ページ Edn Japan | ![]() 電磁気学入門 1 基礎 磁界強度と磁束密度 Dc Dcコンバーター活用講座 44 1 2 ページ Edn Japan |
電磁気学入門 1 基礎 磁界強度と磁束密度 Dc Dcコンバーター活用講座 44 1 2 ページ Edn Japan | ![]() 電磁気学入門 1 基礎 磁界強度と磁束密度 Dc Dcコンバーター活用講座 44 1 2 ページ Edn Japan | ![]() 電磁気学入門 1 基礎 磁界強度と磁束密度 Dc Dcコンバーター活用講座 44 1 2 ページ Edn Japan |
電磁気学入門 1 基礎 磁界強度と磁束密度 Dc Dcコンバーター活用講座 44 1 2 ページ Edn Japan | ![]() 電磁気学入門 1 基礎 磁界強度と磁束密度 Dc Dcコンバーター活用講座 44 1 2 ページ Edn Japan | ![]() 電磁気学入門 1 基礎 磁界強度と磁束密度 Dc Dcコンバーター活用講座 44 1 2 ページ Edn Japan |
電磁気学入門 1 基礎 磁界強度と磁束密度 Dc Dcコンバーター活用講座 44 1 2 ページ Edn Japan | ![]() 電磁気学入門 1 基礎 磁界強度と磁束密度 Dc Dcコンバーター活用講座 44 1 2 ページ Edn Japan | ![]() 電磁気学入門 1 基礎 磁界強度と磁束密度 Dc Dcコンバーター活用講座 44 1 2 ページ Edn Japan |
電磁気学入門 1 基礎 磁界強度と磁束密度 Dc Dcコンバーター活用講座 44 1 2 ページ Edn Japan | ![]() 電磁気学入門 1 基礎 磁界強度と磁束密度 Dc Dcコンバーター活用講座 44 1 2 ページ Edn Japan | ![]() 電磁気学入門 1 基礎 磁界強度と磁束密度 Dc Dcコンバーター活用講座 44 1 2 ページ Edn Japan |
![]() 電磁気学入門 1 基礎 磁界強度と磁束密度 Dc Dcコンバーター活用講座 44 1 2 ページ Edn Japan | 電磁気学入門 1 基礎 磁界強度と磁束密度 Dc Dcコンバーター活用講座 44 1 2 ページ Edn Japan | 電磁気学入門 1 基礎 磁界強度と磁束密度 Dc Dcコンバーター活用講座 44 1 2 ページ Edn Japan |
![]() 電磁気学入門 1 基礎 磁界強度と磁束密度 Dc Dcコンバーター活用講座 44 1 2 ページ Edn Japan | ![]() 電磁気学入門 1 基礎 磁界強度と磁束密度 Dc Dcコンバーター活用講座 44 1 2 ページ Edn Japan | ![]() 電磁気学入門 1 基礎 磁界強度と磁束密度 Dc Dcコンバーター活用講座 44 1 2 ページ Edn Japan |
![]() 電磁気学入門 1 基礎 磁界強度と磁束密度 Dc Dcコンバーター活用講座 44 1 2 ページ Edn Japan | 電磁気学入門 1 基礎 磁界強度と磁束密度 Dc Dcコンバーター活用講座 44 1 2 ページ Edn Japan | ![]() 電磁気学入門 1 基礎 磁界強度と磁束密度 Dc Dcコンバーター活用講座 44 1 2 ページ Edn Japan |
![]() 電磁気学入門 1 基礎 磁界強度と磁束密度 Dc Dcコンバーター活用講座 44 1 2 ページ Edn Japan | 電磁気学入門 1 基礎 磁界強度と磁束密度 Dc Dcコンバーター活用講座 44 1 2 ページ Edn Japan | ![]() 電磁気学入門 1 基礎 磁界強度と磁束密度 Dc Dcコンバーター活用講座 44 1 2 ページ Edn Japan |
![]() 電磁気学入門 1 基礎 磁界強度と磁束密度 Dc Dcコンバーター活用講座 44 1 2 ページ Edn Japan | ![]() 電磁気学入門 1 基礎 磁界強度と磁束密度 Dc Dcコンバーター活用講座 44 1 2 ページ Edn Japan | ![]() 電磁気学入門 1 基礎 磁界強度と磁束密度 Dc Dcコンバーター活用講座 44 1 2 ページ Edn Japan |
電磁気学入門 1 基礎 磁界強度と磁束密度 Dc Dcコンバーター活用講座 44 1 2 ページ Edn Japan | ![]() 電磁気学入門 1 基礎 磁界強度と磁束密度 Dc Dcコンバーター活用講座 44 1 2 ページ Edn Japan | 電磁気学入門 1 基礎 磁界強度と磁束密度 Dc Dcコンバーター活用講座 44 1 2 ページ Edn Japan |
![]() 電磁気学入門 1 基礎 磁界強度と磁束密度 Dc Dcコンバーター活用講座 44 1 2 ページ Edn Japan | 電磁気学入門 1 基礎 磁界強度と磁束密度 Dc Dcコンバーター活用講座 44 1 2 ページ Edn Japan | ![]() 電磁気学入門 1 基礎 磁界強度と磁束密度 Dc Dcコンバーター活用講座 44 1 2 ページ Edn Japan |
![]() 電磁気学入門 1 基礎 磁界強度と磁束密度 Dc Dcコンバーター活用講座 44 1 2 ページ Edn Japan | ![]() 電磁気学入門 1 基礎 磁界強度と磁束密度 Dc Dcコンバーター活用講座 44 1 2 ページ Edn Japan | ![]() 電磁気学入門 1 基礎 磁界強度と磁束密度 Dc Dcコンバーター活用講座 44 1 2 ページ Edn Japan |
![]() 電磁気学入門 1 基礎 磁界強度と磁束密度 Dc Dcコンバーター活用講座 44 1 2 ページ Edn Japan | ![]() 電磁気学入門 1 基礎 磁界強度と磁束密度 Dc Dcコンバーター活用講座 44 1 2 ページ Edn Japan | ![]() 電磁気学入門 1 基礎 磁界強度と磁束密度 Dc Dcコンバーター活用講座 44 1 2 ページ Edn Japan |
![]() 電磁気学入門 1 基礎 磁界強度と磁束密度 Dc Dcコンバーター活用講座 44 1 2 ページ Edn Japan | 電磁気学入門 1 基礎 磁界強度と磁束密度 Dc Dcコンバーター活用講座 44 1 2 ページ Edn Japan | ![]() 電磁気学入門 1 基礎 磁界強度と磁束密度 Dc Dcコンバーター活用講座 44 1 2 ページ Edn Japan |
![]() 電磁気学入門 1 基礎 磁界強度と磁束密度 Dc Dcコンバーター活用講座 44 1 2 ページ Edn Japan | ![]() 電磁気学入門 1 基礎 磁界強度と磁束密度 Dc Dcコンバーター活用講座 44 1 2 ページ Edn Japan | 電磁気学入門 1 基礎 磁界強度と磁束密度 Dc Dcコンバーター活用講座 44 1 2 ページ Edn Japan |
![]() 電磁気学入門 1 基礎 磁界強度と磁束密度 Dc Dcコンバーター活用講座 44 1 2 ページ Edn Japan | ![]() 電磁気学入門 1 基礎 磁界強度と磁束密度 Dc Dcコンバーター活用講座 44 1 2 ページ Edn Japan | ![]() 電磁気学入門 1 基礎 磁界強度と磁束密度 Dc Dcコンバーター活用講座 44 1 2 ページ Edn Japan |
電磁気学入門 1 基礎 磁界強度と磁束密度 Dc Dcコンバーター活用講座 44 1 2 ページ Edn Japan | ![]() 電磁気学入門 1 基礎 磁界強度と磁束密度 Dc Dcコンバーター活用講座 44 1 2 ページ Edn Japan | ![]() 電磁気学入門 1 基礎 磁界強度と磁束密度 Dc Dcコンバーター活用講座 44 1 2 ページ Edn Japan |
![]() 電磁気学入門 1 基礎 磁界強度と磁束密度 Dc Dcコンバーター活用講座 44 1 2 ページ Edn Japan | ![]() 電磁気学入門 1 基礎 磁界強度と磁束密度 Dc Dcコンバーター活用講座 44 1 2 ページ Edn Japan | ![]() 電磁気学入門 1 基礎 磁界強度と磁束密度 Dc Dcコンバーター活用講座 44 1 2 ページ Edn Japan |
![]() 電磁気学入門 1 基礎 磁界強度と磁束密度 Dc Dcコンバーター活用講座 44 1 2 ページ Edn Japan | 電磁気学入門 1 基礎 磁界強度と磁束密度 Dc Dcコンバーター活用講座 44 1 2 ページ Edn Japan | ![]() 電磁気学入門 1 基礎 磁界強度と磁束密度 Dc Dcコンバーター活用講座 44 1 2 ページ Edn Japan |
![]() 電磁気学入門 1 基礎 磁界強度と磁束密度 Dc Dcコンバーター活用講座 44 1 2 ページ Edn Japan | ![]() 電磁気学入門 1 基礎 磁界強度と磁束密度 Dc Dcコンバーター活用講座 44 1 2 ページ Edn Japan | ![]() 電磁気学入門 1 基礎 磁界強度と磁束密度 Dc Dcコンバーター活用講座 44 1 2 ページ Edn Japan |
![]() 電磁気学入門 1 基礎 磁界強度と磁束密度 Dc Dcコンバーター活用講座 44 1 2 ページ Edn Japan | ![]() 電磁気学入門 1 基礎 磁界強度と磁束密度 Dc Dcコンバーター活用講座 44 1 2 ページ Edn Japan | ![]() 電磁気学入門 1 基礎 磁界強度と磁束密度 Dc Dcコンバーター活用講座 44 1 2 ページ Edn Japan |
電磁気学入門 1 基礎 磁界強度と磁束密度 Dc Dcコンバーター活用講座 44 1 2 ページ Edn Japan | ![]() 電磁気学入門 1 基礎 磁界強度と磁束密度 Dc Dcコンバーター活用講座 44 1 2 ページ Edn Japan | ![]() 電磁気学入門 1 基礎 磁界強度と磁束密度 Dc Dcコンバーター活用講座 44 1 2 ページ Edn Japan |
![]() 電磁気学入門 1 基礎 磁界強度と磁束密度 Dc Dcコンバーター活用講座 44 1 2 ページ Edn Japan | 電磁気学入門 1 基礎 磁界強度と磁束密度 Dc Dcコンバーター活用講座 44 1 2 ページ Edn Japan | ![]() 電磁気学入門 1 基礎 磁界強度と磁束密度 Dc Dcコンバーター活用講座 44 1 2 ページ Edn Japan |
![]() 電磁気学入門 1 基礎 磁界強度と磁束密度 Dc Dcコンバーター活用講座 44 1 2 ページ Edn Japan | 電磁気学入門 1 基礎 磁界強度と磁束密度 Dc Dcコンバーター活用講座 44 1 2 ページ Edn Japan | ![]() 電磁気学入門 1 基礎 磁界強度と磁束密度 Dc Dcコンバーター活用講座 44 1 2 ページ Edn Japan |
電磁気学入門 1 基礎 磁界強度と磁束密度 Dc Dcコンバーター活用講座 44 1 2 ページ Edn Japan | ![]() 電磁気学入門 1 基礎 磁界強度と磁束密度 Dc Dcコンバーター活用講座 44 1 2 ページ Edn Japan | ![]() 電磁気学入門 1 基礎 磁界強度と磁束密度 Dc Dcコンバーター活用講座 44 1 2 ページ Edn Japan |
![]() 電磁気学入門 1 基礎 磁界強度と磁束密度 Dc Dcコンバーター活用講座 44 1 2 ページ Edn Japan | 電磁気学入門 1 基礎 磁界強度と磁束密度 Dc Dcコンバーター活用講座 44 1 2 ページ Edn Japan | ![]() 電磁気学入門 1 基礎 磁界強度と磁束密度 Dc Dcコンバーター活用講座 44 1 2 ページ Edn Japan |
電磁気学入門 1 基礎 磁界強度と磁束密度 Dc Dcコンバーター活用講座 44 1 2 ページ Edn Japan | 電磁気学入門 1 基礎 磁界強度と磁束密度 Dc Dcコンバーター活用講座 44 1 2 ページ Edn Japan | ![]() 電磁気学入門 1 基礎 磁界強度と磁束密度 Dc Dcコンバーター活用講座 44 1 2 ページ Edn Japan |
![]() 電磁気学入門 1 基礎 磁界強度と磁束密度 Dc Dcコンバーター活用講座 44 1 2 ページ Edn Japan | ![]() 電磁気学入門 1 基礎 磁界強度と磁束密度 Dc Dcコンバーター活用講座 44 1 2 ページ Edn Japan | ![]() 電磁気学入門 1 基礎 磁界強度と磁束密度 Dc Dcコンバーター活用講座 44 1 2 ページ Edn Japan |
電磁気学入門 1 基礎 磁界強度と磁束密度 Dc Dcコンバーター活用講座 44 1 2 ページ Edn Japan | ![]() 電磁気学入門 1 基礎 磁界強度と磁束密度 Dc Dcコンバーター活用講座 44 1 2 ページ Edn Japan | ![]() 電磁気学入門 1 基礎 磁界強度と磁束密度 Dc Dcコンバーター活用講座 44 1 2 ページ Edn Japan |
![]() 電磁気学入門 1 基礎 磁界強度と磁束密度 Dc Dcコンバーター活用講座 44 1 2 ページ Edn Japan | ![]() 電磁気学入門 1 基礎 磁界強度と磁束密度 Dc Dcコンバーター活用講座 44 1 2 ページ Edn Japan | ![]() 電磁気学入門 1 基礎 磁界強度と磁束密度 Dc Dcコンバーター活用講座 44 1 2 ページ Edn Japan |
![]() 電磁気学入門 1 基礎 磁界強度と磁束密度 Dc Dcコンバーター活用講座 44 1 2 ページ Edn Japan | 電磁気学入門 1 基礎 磁界強度と磁束密度 Dc Dcコンバーター活用講座 44 1 2 ページ Edn Japan | 電磁気学入門 1 基礎 磁界強度と磁束密度 Dc Dcコンバーター活用講座 44 1 2 ページ Edn Japan |
![]() 電磁気学入門 1 基礎 磁界強度と磁束密度 Dc Dcコンバーター活用講座 44 1 2 ページ Edn Japan | ![]() 電磁気学入門 1 基礎 磁界強度と磁束密度 Dc Dcコンバーター活用講座 44 1 2 ページ Edn Japan | ![]() 電磁気学入門 1 基礎 磁界強度と磁束密度 Dc Dcコンバーター活用講座 44 1 2 ページ Edn Japan |
![]() 電磁気学入門 1 基礎 磁界強度と磁束密度 Dc Dcコンバーター活用講座 44 1 2 ページ Edn Japan | ![]() 電磁気学入門 1 基礎 磁界強度と磁束密度 Dc Dcコンバーター活用講座 44 1 2 ページ Edn Japan |
















































































0 件のコメント:
コメントを投稿